NORMA Oficial Mexicana NOM-018-NUCL-2025, Caracterización de residuos contaminados con material radiactivo, desechos radiactivos y bultos de desechos radiactivos.

Al margen un sello con el Escudo Nacional, que dice: Estados Unidos Mexicanos.- Energía.- Secretaría de Energía.- Comisión Nacional de Seguridad Nuclear y Salvaguardias.

NORMA OFICIAL MEXICANA NOM-018-NUCL-2025, CARACTERIZACIÓN DE RESIDUOS CONTAMINADOS CON MATERIAL RADIACTIVO, DESECHOS RADIACTIVOS Y BULTOS DE DESECHOS RADIACTIVOS

ALEJANDRO NUÑEZ CARRERA, Director General de la Comisión Nacional de Seguridad Nuclear y Salvaguardias y Presidente del Comité Consultivo Nacional de Normalización de Seguridad Nuclear  y Salvaguardias, con fundamento en los artículos 17 y 33 fracciones XIII y XIX de la Ley Orgánica de la Administración Pública Federal; 4, 18 fracción III, 19, 21, 25, y 50 fracciones I, II, III y XI de la Ley Reglamentaria del Artículo 27 Constitucional en Materia Nuclear; 3 fracciones VI, VII, VIII y IX, 10 fracciones I, II, VII y VIII, 24, 25, 30, 35 fracciones IX y X, 36, 39, Tercero y Octavo Transitorio de la Ley de Infraestructura de la Calidad, 28, 30 y 33 del Reglamento de la Ley Federal sobre Metrología y Normalización; 2, apartado F, fracción I, 71, 72, 73 y 74 del Reglamento Interior de la Secretaría de Energía, 81, 90, 207 del Reglamento General de Seguridad Radiológica; y demás ordenamientos jurídicos que resulten aplicables, y

CONSIDERANDO

Que la Ley Orgánica de la Administración Pública Federal define las facultades de la Secretaría de Energía, entre las que se encuentra la de expedir Normas Oficiales Mexicanas a través de la Comisión Nacional de Seguridad Nuclear y Salvaguardias, en lo correspondiente a sus facultades.

Que las actividades que realicen las Autoridades Normalizadoras en materia de normalización y evaluación de la conformidad deberán fomentar la armonización con modelos, principios y mejores prácticas internacionales; por lo que, para la caracterización de los residuos radiactivos, desechos radiactivos y bultos de desechos radiactivos, se tomarán como base las recomendaciones elaboradas por el Organismo Internacional de Energía Atómica.

Que el 09 de mayo de 2024, el Comité Consultivo Nacional de Normalización de Seguridad Nuclear y Salvaguardias (CCNN-SNyS), aprobó en la Segunda Reunión Extraordinaria del 2024, la publicación del Proyecto de Norma Oficial Mexicana PROY NOM-018-NUCL-2024 "Caracterización de residuos contaminados con material radiactivo, desechos radiactivos y bultos de desechos radiactivos"; a efecto de que los interesados dentro de los 60 días naturales contados a partir de la fecha de publicación en el Diario Oficial de la Federación, emitieran sus comentarios.

Que, con fecha 1 de agosto de 2024, se publicó en el Diario Oficial de la Federación el Proyecto de Norma Oficial Mexicana PROY-NOM-018-NUCL-2024, "Caracterización de residuos contaminados con material radiactivo, desechos radiactivos y bultos de desechos radiactivos", mismo que se puso a disposición del público en general para su consulta por un plazo de 60 días naturales; y que, dentro de dicho plazo, no se recibieron comentarios al contenido del proyecto.

Que de conformidad con lo establecido en el artículo 28 fracción II, inciso d del Reglamento de la Ley Federal sobre Metrología y Normalización, el año de la clave de esta Norma Oficial Mexicana cambia a 2025, debido a que el instrumento regulatorio se presentó ante el Comité Consultivo Nacional de Normalización de Seguridad Nuclear y Salvaguardias para su aprobación en dicho año.

Que, conforme al artículo 35 de la Ley de Infraestructura de la Calidad, la resolución definitiva del  CCNN-SNyS fue comunicada a la Autoridad Normalizadora en la primera reunión extraordinaria celebrada el 27 de enero de 2026.

Que, conforme al artículo 35 fracción X de la Ley de Infraestructura de la Calidad, el CCNN-SNyS aprobó en la primera reunión extraordinaria celebrada el 27 de enero de 2026, la publicación de la  NOM-018-NUCL-2025 "Caracterización de residuos contaminados con material radiactivo, desechos radiactivos y bultos de desechos radiactivos" en el Diario Oficial de la Federación.

Que la Ley de Infraestructura de la Calidad considera a las Normas Oficiales Mexicanas como las regulaciones técnicas de observancia obligatoria cuyo fin esencial es el fomento de la calidad para el desarrollo económico y la protección de los objetivos legítimos de interés público previstos en dicho ordenamiento, por lo que se expide la siguiente Norma Oficial Mexicana:

NORMA OFICIAL MEXICANA NOM-018-NUCL-2025, CARACTERIZACIÓN DE RESIDUOS CONTAMINADOS CON MATERIAL RADIACTIVO, DESECHOS RADIACTIVOS  Y BULTOS DE DESECHOS RADIACTIVOS

PREFACIO

La elaboración de esta Norma Oficial Mexicana es competencia del Comité Consultivo Nacional de Normalización de Seguridad Nuclear y Salvaguardias integrado por:

- Secretaría de Energía. Subsecretaría de Electricidad - Unidad del Sistema Eléctrico Nacional  y Política Nuclear.

- Secretaría de Economía. Dirección General de Normas.

- Secretaría de Infraestructura, Comunicaciones y Transportes.

- Comisión Federal de Electricidad. Central Nucleoeléctrica Laguna Verde.

- Secretaría del Trabajo y Previsión Social.

- Instituto Nacional de Enfermedades Respiratorias "Ismael Cosío Villegas".

- Instituto Nacional de Neurología y Neurocirugía.

- Hospital Juárez de México.

- Hospital Regional de Alta Especialidad de Ixtapaluca.

- Instituto Nacional de Investigaciones Nucleares.

- Universidad Nacional Autónoma de México. Instituto de Ciencias Nucleares.

- Sociedad Mexicana de Radioterapeutas, A.C.

- Sociedad Mexicana de Físicos en Medicina.

- Asociación Mexicana de Radioprotección, A.C.

- Servicios Integrales para la Radiación, S.A. de C.V.

- Asesoría Especializada y Servicios Corporativos, S.A. de C.V.

- Radiación Aplicada a la Industria, S.A. de C.V.

- Tecnofísica Radiológica, S.C.

- Medicina, Industria y Seguridad Radiológica, S.A. de C.V.

- Bartlett de México, S.A. de C.V.

- EERMS, S.A. de C.V.

- Radiaciones del Sureste Aplicadas, S.A. de C.V.

- Transportaciones Nacionales e Internacionales Regias, S.A. de C.V.

- Adiestramiento y Capacitación Nuclear, S.A. de C.V.

- Sterigenics, S. de R.L. de C.V.

- Instrumentos y Equipos Falcón, S.A. de C.V.

- Rapiscan Systems México, S. de R.L. de C.V.

- Hospital Ángeles del Pedregal, S.A. de C.V.

- Instituto Nacional de Pediatría.

- Halliburton de México, S. de R. L. de C. V.

ÍNDICE

0. Introducción

1. Objetivo, campo de aplicación y objetivo legítimo de interés público

2. Referencias normativas

3. Definiciones y abreviaturas

4. Caracterización de residuos radiactivos, desechos radiactivos y bultos de desechos radiactivos

5. Procedimiento de evaluación de la conformidad

6. Verificación

7. Concordancia con normas internacionales

8. Bibliografía

TRANSITORIOS

Apéndice A (Normativo)        Métodos para la determinación de la concentración de actividad y actividad en los residuos radiactivos, desechos radiactivos o bultos de desechos radiactivos.

Apéndice B (Normativo)        Consideraciones de masa y volumen para determinar la concentración de actividad.

Apéndice C (Normativo)        Hoja de especificaciones del residuo radiactivo, desecho radiactivo o bulto de desecho radiactivo.

0. Introducción

La caracterización de los residuos radiactivos, desechos radiactivos y bultos de desechos radiactivos implica la identificación y determinación de las propiedades físicas, químicas, biológicas, térmicas, mecánicas y radiológicas que proporcionan información relevante para verificar el cumplimiento de los criterios de aceptación de las distintas etapas de su gestión.

1. Objetivo, campo de aplicación y objetivo legítimo de interés público

1.1 Objetivo

Esta Norma Oficial Mexicana establece los requisitos y criterios para la caracterización de los residuos radiactivos, desechos radiactivos y bultos de desechos radiactivos con la finalidad de identificar los riesgos potenciales inherentes a dichas características.

1.2 Campo de aplicación

La presente Norma Oficial Mexicana es aplicable a las instalaciones nucleares y radiactivas donde se lleven a cabo actividades relacionadas con la caracterización de los residuos radiactivos, desechos radiactivos y bultos de desechos radiactivos.

1.3 Objetivo legítimo de interés público

Esta Norma Oficial Mexicana tutela los objetivos legítimos de interés público correspondientes a la protección a la integridad física, a la salud, y a la vida de los trabajadores en los centros de trabajo, así como la seguridad nacional.

2. Referencias Normativas

Los siguientes documentos normativos o los que los sustituyan son indispensables para la aplicación de esta Norma Oficial Mexicana.

2.1 Norma Oficial Mexicana NOM-004-NUCL-2013, Clasificación de los desechos radiactivos.

2.2 Norma Oficial Mexicana NOM-019-NUCL-1995, Requerimientos para bultos de desechos radiactivos de nivel bajo para su almacenamiento definitivo cerca de la superficie.

2.3 Norma Oficial Mexicana NOM-021-NUCL-1996, Requerimientos para las pruebas de lixiviación para especímenes de desechos radiactivos solidificados.

2.4 Norma Oficial Mexicana NOM-035-NUCL-2013, Criterios para la dispensa de residuos con material radiactivo.

3. Definiciones y abreviaturas

Para los propósitos de esta Norma Oficial Mexicana, se usan las siguientes abreviaturas y definiciones:

3.1 Actividad gruesa

Es la determinación del contenido radiactivo total en una muestra (radiación alfa, beta, gamma o una combinación de ellas), sin precisar la identidad particular de los radionúclidos presentes.

3.2 Actividad total

La suma de todas las actividades distribuidas en el desecho radiactivo.

3.3 Bulto de desecho radiactivo

Producto final del acondicionamiento que comprende el cuerpo del desecho radiactivo y, cualquier contenedor(es) y barreras internas, preparados conforme a los requisitos establecidos para el manejo, transporte, el almacenamiento temporal (almacenamiento) o almacenamiento definitivo (disposición final).

3.4 Caracterización

Identificación y determinación de las propiedades físicas, químicas, biológicas, térmicas, mecánicas y radiológicas del residuo radiactivo, desecho radiactivo o bulto de desecho radiactivo, que permiten determinar las necesidades para su adecuado manejo, pretratamiento, tratamiento, acondicionamiento y almacenamiento temporal o definitivo.

3.5 Comisión

Comisión Nacional de Seguridad Nuclear y Salvaguardias.

3.6 Desecho Radiactivo

Cualquier material que contenga o esté contaminado con radionúclidos en concentraciones o niveles de radiactividad mayores a las señaladas en la NOM-035-NUCL-2013, y para el cual no se prevé uso alguno.

3.7 Gestión de Residuos Radiactivos, Desechos Radiactivos y Bultos de Desechos Radiactivos

Conjunto de actividades técnicas y administrativas que se ocupan de la manipulación (manejo), tratamiento previo (pretratamiento), tratamiento, acondicionamiento, transporte, almacenamiento temporal (almacenamiento) o almacenamiento definitivo (disposición final) de los desechos radiactivos.

3.8 Límite inferior de detección

La mínima concentración de actividad de material radiactivo en una muestra que será detectada con probabilidad del 95%, y con 5% de probabilidad de concluir en forma falsa.

4. Caracterización de residuos radiactivos, desechos radiactivos y bultos de desechos radiactivos

4.1 Cualquier material que contenga o esté contaminado con radionúclidos y para el cual no se prevea uso alguno, se debe:

4.1.1 Considerar como desecho radiactivo en tanto no se autorice su dispensa en los términos que establece la NOM-035-NUCL-2013 vigente o la que la sustituya.

4.1.2 Manejar con las medidas de seguridad conducentes, incluir en los reportes de inventarios como desechos radiactivos pendientes de caracterización, reportando asimismo la fecha en que fueron generados.

4.1.3 Caracterizar en un plazo máximo de tres años, contados a partir de su generación. En el caso de desechos ya existentes en la instalación, dicho plazo iniciará a partir de la entrada en vigor de la presente norma.

4.2 Los residuos radiactivos, desechos radiactivos y bultos de desechos radiactivos deben ser caracterizados en términos de sus propiedades físicas, químicas, biológicas, térmicas, mecánicas y radiológicas.

La información que se genere de la caracterización de los residuos radiactivos, desechos radiactivos o bultos de desechos radiactivos debe ser utilizada para verificar el cumplimiento con los requerimientos de la siguiente etapa de gestión.

4.3 La obtención de las propiedades físicas, químicas, biológicas, térmicas y mecánicas, de los residuos radiactivos, desechos radiactivos o bultos de desechos radiactivos se puede realizar de acuerdo a las siguientes opciones:

4.3.1 Mediante el conocimiento de la práctica o proceso que lo generó, utilizando la información de la fuente radiactiva, los procedimientos, los documentos de diseño de la instalación o los registros de la práctica o proceso.

4.3.2 Mediante la medición de las propiedades.

4.4 A fin de identificar los riesgos no radiológicos durante los procesos a los que se someten los residuos radiactivos, desechos radiactivos y bultos de desechos radiactivos, se requiere información sobre sus propiedades físicas, químicas, biológicas y térmicas. Por lo anterior, se debe identificar la existencia de los materiales o sustancias establecidos en el Apéndice C (Normativo) de esta norma.

4.5 Las propiedades mecánicas del bulto de desecho radiactivo que se deben determinar, según sea el caso, son las establecidas en la NOM-019-NUCL-1995, vigente o la que la sustituya o las que especifique la instalación de gestión que le corresponda. Para el caso de la prueba de lixiviación, se debe cumplir con lo establecido en la NOM-021-NUCL-1996 vigente o la que la sustituya.

4.6 Las propiedades radiológicas del residuo radiactivo, desecho radiactivo o bulto de desecho radiactivo que se deben determinar y registrar en el Apéndice C, son al menos las siguientes:

4.6.1 Radionúclido(s) presente(s).

4.6.2 Actividad y concentración de actividad.

4.6.3 Niveles de radiación a contacto y a un metro de distancia.

4.6.4 Niveles de contaminación cuando aplique.

4.6.5 Aquellas relacionadas con la criticidad, cuando apliquen.

4.7 La determinación de la concentración de actividad y/o actividad de los radionúclidos presentes en el residuo radiactivo, desecho radiactivo o bulto de desecho radiactivo se debe realizar mediante la aplicación de los métodos descritos en el Apéndice A (Normativo) de esta norma, ya sea que dichos métodos se apliquen conjuntamente o en forma independiente.

4.8 Los criterios de masa y volumen para determinar la concentración de actividad deben ser establecidos de acuerdo a los requisitos indicados en el Apéndice B (Normativo) de esta norma.

4.9 Después de realizar la caracterización del residuo radiactivo, desecho radiactivo o bulto de desecho radiactivo, se debe generar la hoja de especificaciones con la información que resulte aplicable del Apéndice C (Normativo) de esta norma. La hoja de especificaciones debe contener al menos la siguiente información:

4.9.1 El origen y la descripción del residuo radiactivo, desecho radiactivo o bulto de desecho radiactivo.

4.9.2 La identificación de los radionúclidos presentes en el residuo radiactivo, desecho radiactivo o bulto de desecho radiactivo, así como las propiedades radiológicas que se indican en el numeral 4.6 de esta norma.

4.9.3 Propiedades físicas, químicas, biológicas, térmicas y mecánicas.

4.10 Se debe mantener actualizado el inventario de los residuos radiactivos, desechos radiactivos o bultos de desechos radiactivos recibidos y/o generados en la instalación; incluyendo, la fecha de ingreso, la ubicación dentro de la instalación, la fecha de su retiro y su destino. Dicho inventario debe contar con las hojas de especificaciones.

4.11 Se debe entregar copia con firma autógrafa de la(s) hoja(s) de especificaciones conjuntamente con el residuo radiactivo, desecho radiactivo o bulto de desecho radiactivo cuando éste sea transferido para continuar con la siguiente etapa del proceso de gestión.

5. Procedimiento de Evaluación de la Conformidad

5.1 El procedimiento para la evaluación de la conformidad incluirá lo siguiente:

Disposición

Tipo de evaluación

Criterio de aceptación

Observaciones



Se cumple con las disposiciones establecidas en la presente norma cuando:



4.1

Documental

Para material que contenga o esté contaminado con radionúclidos y para el cual no se prevé uso alguno:





I)        Se cataloga como desecho radiactivo, en tanto no cuente con una autorización de dispensa en los términos de la  NOM-035-NUCL-2013 vigente o la que la sustituya.





II)        Se maneja con las medidas de seguridad conducentes y se incluye en los reportes de inventarios como desechos radiactivos pendientes de caracterización, informando la fecha en que fueron generados.



III)        Los residuos radiactivos y los desechos radiactivos con más de tres años de haberse generado se han caracterizado.



4.4

Documental

Se han identificado las propiedades físicas, químicas, biológicas y térmicas de los materiales o sustancias de acuerdo con lo establecidos en el Apéndice C (Normativo) de esta norma.



4.5

Documental

Se han determinado las propiedades mecánicas del bulto de desecho radiactivo de acuerdo con:

a)        La NOM-019-NUCL-1995 vigente o la que la sustituya, o

b)        Las que especifique la instalación de gestión que le corresponda.



Para el caso de la prueba de lixiviación, se realizó de acuerdo con lo establecido en la NOM-021-NUCL-1996 vigente o la que la sustituya.



4.6

Documental

Se han determinado y registrado en el Apéndice C, las siguientes propiedades radiológicas del residuo radiactivo, desecho radiactivo o bulto de desecho radiactivo.

4.6.1 Radionúclido(s) presente(s).

4.6.2 Actividad y concentración de actividad.

4.6.3 Niveles de radiación a contacto y a un metro de distancia.

4.6.4 Niveles de contaminación cuando aplique.

4.6.5 Aquellas relacionadas con la criticidad, cuando apliquen.



4.7

Documental

Se ha determinado la concentración de actividad y/o actividad de los radionúclidos presentes en el residuo radiactivo, desecho radiactivo o bulto de desecho radiactivo mediante la aplicación de los métodos descritos en el Apéndice A (Normativo) de esta norma ya sea que dichos métodos se hayan aplicado de forma conjunta o en forma aislada.



4.8

Documental

Los criterios de masa y volumen para determinar la concentración de actividad se han establecido de acuerdo a los requisitos del Apéndice B (Normativo) de esta norma.



4.9

Documental

Una vez realizada la caracterización del residuo radiactivo, desecho radiactivo o bulto de desecho radiactivo, se ha generado la hoja de especificaciones con la información que resulte aplicable del Apéndice C (Normativo) de esta norma, y la hoja de especificaciones contiene al menos la siguiente información:

4.9.1 El origen y la descripción del residuo radiactivo, desecho radiactivo o bulto de desecho radiactivo.

4.9.2 La identificación de los radionúclidos presentes en el residuo radiactivo, desecho radiactivo o bulto de desecho radiactivo, así como las propiedades radiológicas que se indican en el numeral 4.6 de esta norma.

4.9.3 Propiedades físicas, químicas, biológicas, térmicas y mecánicas.



4.10

Documental

Está actualizado el inventario de los residuos radiactivos, desechos radiactivos o bultos de desechos radiactivos con la siguiente información:

a) Residuos radiactivos, desechos radiactivos o bultos de desechos radiactivos recibidos y/o generados en la instalación, incluyendo,

b) Fecha de ingreso,

c) Ubicación dentro de la instalación,

d) Fecha de su retiro y su destino, y

e) El inventario cuenta con las hojas de especificaciones.



4.11

Documental

Se cuenta con evidencia de que se entregaron copias con firma autógrafa de la(s) hoja(s) de especificaciones conjuntamente con el residuo radiactivo, desecho radiactivo o bulto de desechos radiactivo cuando éste fue transferido para continuar con la siguiente etapa del proceso de gestión.



Apéndice C (Normativo)

Documental

Se constata que se han consignado todos los datos requeridos en el cuerpo del Apéndice.



5.2 La evaluación de la conformidad de esta Norma Oficial Mexicana se llevará a cabo por la Autoridad Normalizadora conforme a lo previsto en el apartado correspondiente a la Verificación.

6. Verificación

La verificación del cumplimiento de lo dispuesto en la presente Norma Oficial Mexicana está a cargo de la Secretaría de Energía, por conducto de la Comisión Nacional de Seguridad Nuclear y Salvaguardias, conforme a sus respectivas atribuciones y bajo lo dispuesto en la Ley Reglamentaria del Artículo 27 Constitucional en Materia Nuclear. Asimismo, las sanciones que correspondan serán aplicadas en los términos de la legislación aplicable.

7. Concordancia con normas internacionales

Esta Norma Oficial Mexicana no es equivalente (NEQ) con alguna Norma Internacional, por no existir esta última al momento de su elaboración.

8. Bibliografía

8.1 International Atomic Energy Agency, General Safety Requirements Part 5 Predisposal Management of Radioactive Waste, 2009.

8.2 International Atomic Energy Agency, Technical Document 864 Requirements and methods for low and intermediate level waste package acceptability, 1996.

8.3 International Atomic Energy Agency, Technical Document 1537 Strategy and Methodology for Radioactive Waste Characterization, 2007.

8.4 International Atomic Energy Agency, IAEA Analytical Quality in Nuclear Applications Series No. 48, determination and interpretation of characteristic limits for radioactivity measurements, Austria, Vienna, 2017.

8.5 Nuclear Regulatory Commission, Final Waste Classification and Waste Form Technical Position Papers. Washington, D. C. (1983).

TRANSITORIOS

PRIMERO. La presente Norma Oficial Mexicana entrará en vigor a los 180 días naturales siguientes al día de su publicación en el Diario Oficial de la Federación.

SEGUNDO. Cuando esta Norma Oficial Mexicana sea publicada en el Diario Oficial de la Federación como norma definitiva y entre en vigor, se ABROGARÁ la Norma Oficial Mexicana NOM-018-NUCL-1995, "Métodos para determinar la concentración de actividad y actividad total en los bultos de desechos radiactivos"; publicada en el Diario Oficial de la Federación el 12 de agosto de 1996.

Ciudad de México, a 27 de enero de 2026.- Presidente del Comité Consultivo Nacional de Normalización de Seguridad Nuclear y Salvaguardias y Director General de la Comisión Nacional de Seguridad Nuclear y Salvaguardias, Dr. Alejandro Núñez Carrera.- Rúbrica.

Apéndice A (Normativo)

Métodos para la determinación de la concentración de actividad y actividad en los residuos radiactivos, desechos radiactivos o bultos de desechos radiactivos.

Los métodos para determinar la concentración de actividad y actividad de los radionúclidos contenidos son:

A.1 Contabilidad de materiales.

A.2 Clasificación por fuente.

A.3 Técnica del factor de conversión usando una curva de calibración.

A.4 Medición de radionúclidos específicos.

A.1        Contabilidad de materiales.

       Este método se aplica cuando se usan y poseen sólo un número específico de radionúclidos y se conoce la concentración de actividad y actividad de cada uno de los radionúclidos presentes en el residuo radiactivo, desecho radiactivo o bulto de desecho radiactivo mediante un balance de entradas y salidas de la práctica o proceso generador. Para su aplicación se debe establecer un Programa de Contabilidad que incluya lo siguiente:

A.1.1        Las características del material radiactivo que se utilice en la práctica, incluyendo la concentración de actividad y la actividad inicial de cada uno de los radionúclidos.

A.1.2        La descripción de la práctica en que está involucrado el material radiactivo.

A.1.3        Los parámetros de la práctica o proceso que afecten la concentración de actividad y la actividad de cada uno de los radionúclidos presentes en los residuos radiactivos, desechos radiactivos o bultos de desechos radiactivos.

A.1.4        El procedimiento que se sigue en la determinación de la concentración de actividad y actividad total de cada uno de los radionúclidos contenidos en los residuos radiactivos, desechos radiactivos o bultos de desechos radiactivos, incluyendo el balance de masa y actividad durante el proceso.

A.1.5        Los registros que se generan para corroborar la correcta aplicación de este método y efectuar el seguimiento de la concentración de actividad y actividad de cada uno de los radionúclidos contenidos en los residuos radiactivos, desechos radiactivos o bultos de desechos radiactivos.

A.2        Clasificación por fuente

A.2.1        Este método implica la determinación del contenido de radionúclidos y la clasificación a través del conocimiento y control de la fuente. Este método está diseñado para ocasiones en las que las concentraciones de radionúclidos dentro de los residuos radiactivos, desechos radiactivos o bultos de desechos radiactivos generados por una práctica o proceso particular son relativamente constantes y no se ven afectadas por variaciones menores en el proceso.

A.2.2        Cuando el residuo radiactivo, desecho radiactivo o bulto de desecho radiactivo sea una fuente sellada, se deben tomar en cuenta las siguientes consideraciones en la determinación de actividad:

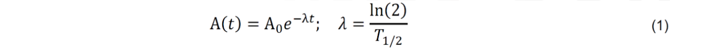
A.2.2.1        A partir del certificado de calibración de la fuente podrá determinarse su actividad actual aplicando la ecuación (1):

       donde:

       es la actividad al tiempo del desecho radiactivo en Bq

       es la actividad inicial que se tomará de la fecha de calibración de la fuente en Bq.

       es la constante de decaimiento.

       es la vida media del radionúclido contenido en la fuente.

       es el tiempo transcurrido desde la fecha de calibración de la fuente.

A.2.2.2        Se debe incluir en los registros, junto con la hoja de especificaciones, una copia del: certificado de calibración de la fuente, certificado de la prueba de fuga vigente y la memoria de cálculo mediante la que se obtuvo la actividad de la fuente al momento de su desecho.

A.2.2.3        Para fuentes selladas que hayan perdido su hermeticidad, antes de ser desechadas se debe determinar su actividad mediante la utilización de los métodos de medición descritos en el punto A.4 de este Apéndice A (Normativo). Adicionalmente, se debe incluir un análisis que identifique la causa de la fuga, la actividad liberada por ésta y su destino. Esta información debe anexarse a los registros con la hoja de especificaciones.

A.2.2.4        Cuando se carezca del certificado de calibración de la fuente sellada que se desecha, se debe determinar su actividad mediante la utilización de los métodos de medición de radionúclidos específicos descritos en el punto A.4 de este Apéndice A (Normativo).

A.3        Técnica del factor de conversión usando una curva de calibración.

A.3.1        Esta técnica involucra la conversión de mediciones de activad gruesa para estimar la actividad del residuo radiactivo, desecho radiactivo o bulto de desecho radiactivo, mediante el uso de una curva de calibración específica. Esta técnica es aceptable para todas las clases de residuos radiactivos, desechos radiactivos o bultos de desechos radiactivos, siempre que:

A.3.1.1        Tales mediciones sean correlacionadas sobre una base consistente con la distribución de los radionúclidos dentro de la corriente analizada, y

A.3.1.2        La distribución de los radionúclidos es determinada inicialmente y verificada por técnicas de medición de radionúclidos específicos descritas en el punto A.4 de este Apéndice A (Normativo).

A.3.2        Para utilizar esta técnica se debe establecer un programa para correlacionar la concentración de actividad de los radionúclidos en los residuos radiactivos, desechos radiactivos o bultos de desechos radiactivos con los niveles de actividad gruesa medidos. Dicho programa debe ser aprobado por la Comisión y contener la información referente a:

A.3.2.1        La descripción y justificación, conforme a los puntos A.3.1.1 y A.3.1.2, del método que se utilizó para determinar la concentración de actividad y actividad de cada uno de los radionúclidos contenidos en los residuos radiactivos, desechos radiactivos o bultos de desechos radiactivos.

A.3.2.2        La curva de calibración y el factor de conversión obtenido, así como la descripción de la obtención de la misma.

A.3.2.3        Las condiciones bajo las cuales es válida la correlación obtenida, y la identificación de los parámetros del proceso que al ser modificados afectan la validez de la correlación utilizada y las medidas que se seguirán para su corrección.

A.3.2.4        Los procedimientos que se utilizan durante la determinación de la correlación, en la aplicación y verificación de este método.

A.3.2.5        Las técnicas de medición directa que se utiliza, detallando la geometría del detector y de los desechos radiactivos; los efectos del blindaje y la atenuación; la energía gamma efectiva de los fotones emitidos, y el número de fotones por decaimiento.

A.3.2.6        La exactitud de la correlación también debe verificarse siempre que haya razones para creer que los cambios en el proceso pueden haber alterado significativamente las correlaciones derivadas previamente.

A.3.2.7        El cumplimiento con el Programa de Garantía de Calidad de la instalación.

A.3.2.8        Los registros que se generan para corroborar en todo momento la correcta aplicación del método y efectuar el seguimiento de la determinación de concentración de actividad y actividad de cada uno de los radionúclidos contenidos en los residuos radiactivos, desechos radiactivos o bultos de desechos radiactivos.

A.4        Medición de radionúclidos específicos.

       Estos métodos se basan en la medición directa de radionúclidos individuales (espectrometría gamma, técnicas radioquímicas de separación y mediciones subsiguientes alfa, beta, gamma, de espectrometría de masas o alguna técnica similar) o el establecimiento de un programa de medición inferencial.

A.4.1        Espectrometría gamma.

       El uso de esta técnica para determinar la concentración de actividad y/o actividad debe llevarse a cabo bajo las siguientes condiciones:

A.4.1.1        El límite inferior de detección del sistema de medición debe ser al 50% de los valores asociados a los límites de dispensa respectivos establecidos en la NOM-035-NUCL-2013 vigente o la que la sustituya, para los radionúclidos presentes en el desecho. Se deben emplear para la calibración fuentes estándar certificadas por una organización reconocida, con una densidad similar a la de las muestras a analizar.

A.4.1.2        Se debe asegurar que la técnica cumple con el Programa de Garantía de Calidad.

A.4.1.3        Se debe de cuantificar la incertidumbre asociada al sistema de medición.

A.4.1.4        Se deben generar y mantener los registros para corroborar en todo momento la correcta aplicación de la técnica y su trazabilidad, de conformidad con lo establecido en el Programa de Garantía de Calidad.

A.4.2        Determinación de la actividad por técnicas radioquímicas.

       Cuando la actividad no puede ser determinada por técnicas de espectrometría gamma, se puede utilizar técnicas radioquímicas que implican una separación y/o aislamiento de los radionúclidos por medios químicos para su posterior cuantificación. Para la aplicación de esta técnica se debe contar con un programa de medición aprobado por la Comisión, el cual debe incluir lo siguiente:

A.4.2.1        Una descripción y justificación de la técnica de radioquímica que se utilice.

A.4.2.2        El procedimiento que se debe seguir desde la separación hasta la determinación de la concentración de actividad y la actividad de cada uno de los radionúclidos.

A.4.2.3        Descripción del sistema de medición. El límite inferior de detección del sistema de medición debe ser menor al 50% de los valores asociados a los límites de dispensa respectivos establecidos en la NOM-035-NUCL-2013, vigente o la que la sustituya.

A.4.2.4        La demostración del cumplimiento de la aplicación de la técnica radioquímica con el Programa de Garantía de Calidad, y en el caso de que ésta se utilice para determinar la concentración de actividad mediante el uso de correlaciones, agregar la periodicidad o condiciones bajo las cuales es verificada, considerando las determinaciones de actividad en muestras.

A.4.2.5        Los registros que se generan para corroborar en todo momento la correcta aplicación de la técnica radioquímica y efectuar el seguimiento de la determinación de concentración de actividad y actividad de cada uno de los radionúclidos contenidos en los residuos radiactivos, desechos radiactivos o bultos de desechos radiactivos.

A.4.3        Determinación de la actividad por inferencia.

       La concentración de actividad y/o actividad de los radionúclidos de interés se determina a partir de la medición de otros radionúclidos que pueden ser medidos por los métodos indicados en los incisos A.4.1 y A.4.2, permitiendo la obtención de la actividad del radionúclido de interés mediante la utilización de factores de correlación (factores de escala). Para la utilización de esta técnica se debe contar con un programa de medición aprobado por la Comisión, el cual debe contener:

A.4.3.1        Los radionúclidos que se pretenden evaluar.

A.4.3.2        Una descripción y la justificación de las técnicas de inferencia empleadas.

A.4.3.3        Las técnicas de medición empleadas y la memoria de cálculo correspondiente a la determinación del (los) factor(es) de correlación y la periodicidad o condiciones bajo las que se debe verificar su validez.

A.4.3.4        El sistema de medición que se utiliza para determinar la concentración y/o actividad de los radionúclidos de referencia. El límite inferior de detección del sistema de medición para los radionúclidos a partir de los cuales se infiere la concentración de los radionúclidos de interés, debe ser menor al 50% de los valores asociados a los límites de dispensa respectivos establecidos en la NOM-035-NUCL-2013 vigente o la que la sustituya.

A.4.3.5        Los registros que se generan para corroborar en todo momento la correcta aplicación de la técnica y efectuar el seguimiento de la determinación de concentración de actividad y actividad de cada uno de los radionúclidos contenidos en los residuos radiactivos, desechos radiactivos o bultos de desechos radiactivos.

A.5        Para cualquier otro método, se debe presentar al menos la siguiente información:

A.5.1        Descripción del método (de medición y/o de modelado matemático) y la justificación de su elección.

A.5.2        En el caso de que se usen estimaciones debe presentar la evidencia que demuestre que las suposiciones hechas son conservadoras.

A.5.3        Los procesos y procedimientos a realizar durante la aplicación del método.

A.5.4        Las condiciones bajo las cuales es aplicable el método y la identificación de los parámetros del proceso que al ser modificados afectan su validez.

A.5.5        La demostración del cumplimiento del método con el Programa de Garantía de Calidad.

A.5.6        Los registros que se deben generar para corroborar en todo momento la correcta aplicación del método y efectuar el seguimiento del mismo.

Apéndice B (Normativo)

Consideraciones de masa y volumen para determinar la concentración de actividad.

B.1        La concentración de actividad de un radionúclido puede promediarse sobre el volumen o masa del residuo radiactivo, desecho radiactivo o bulto de desecho radiactivo siempre y cuando:

B.1.1        La distribución de los radionúclidos puede considerarse homogénea, y

B.1.2        El volumen del residuo radiactivo, desecho radiactivo o bulto de desecho radiactivo sea menor o igual al 80% de la capacidad del contenedor.

B.2        Se pueden considerar como desechos radiactivos homogéneos los siguientes ejemplos, que se mencionan de manera enunciativa mas no limitativa:

B.2.1        Resinas de intercambio iónico gastadas.

B.2.2        Medios filtrantes.

B.2.3        Líquidos solidificados.

B.2.4        Tierra contaminada.

B.3        Cuando el residuo radiactivo o desecho radiactivo esté compuesto de materiales compactables diversos, se considerará homogéneo una vez que sea colocado dentro de su contenedor.

B.4        La actividad de pequeñas fuentes concentradas, tales como las utilizadas en la verificación o calibración, y que estén contenidas en un desecho radiactivo, se promedia sobre el volumen del desecho radiactivo.

B.5        El volumen a considerar para los desechos radiactivos de grandes componentes debe de ser analizado y autorizado por la Comisión caso por caso.

B.6        Para el caso de desechos radiactivos que han sido estabilizados y/o acondicionados utilizando un medio solidificante, debe utilizarse el volumen de la masa solidificada.

Apéndice C (Normativo)

Hoja de especificaciones del residuo radiactivo, desecho radiactivo o bulto de desecho radiactivo

HOJA DE ESPECIFICACIONES

DEL RESIDUO RADIACTIVO, DESECHO RADIACTIVO O BULTO DE DESECHO RADIACTIVO


C.0 Número de identificación del residuo radiactivo, desecho radiactivo o bulto de desecho radiactivo.

_________________________________

C.1 Información del permisionario poseedor del material radiactivo y que realiza su caracterización.

C.1.1 Nombre o razón social del permisionario.

C1.2 Número de licencia o autorización.

C 1.3 Práctica en la cual se usaba el material radiactivo.

C 1.4 Clasificación de la instalación.

C 1.5 Domicilio legal.


C.2 Propiedades del residuo radiactivo, desecho radiactivo o bulto de desecho radiactivo.

C.2.1 El origen y la descripción del residuo radiactivo, desecho radiactivo o bulto de desecho radiactivo.

C.2.2 Radionúclido(s) presentes:

C.2.3 Fecha de la determinación de la actividad y concentración de actividad:

dd/mm/aaaa


_________________________Bq


______________________Bq/m3, o


________________________Bq/lt

C.2.4 Niveles de radiación a contacto y a un metro de distancia.

C.2.5 Niveles de contaminación, cuando aplique.

C.2.6 Aquellas relacionadas con la criticidad, cuando apliquen:

C.2.7 Propiedades físicas.

C.2.8 Propiedades químicas.

C.2.9 Propiedades biológicas.

C.2.10 Propiedades mecánicas.

C.2.11 Propiedades térmicas.

C.2.12 Masa.

_________________________________________________________________________________(Kg).

C.2.13 Descripción de la distribución del material radiactivo en el volumen del contenedor para aquellos casos en que aplique.

C.2.14 Descripción de las propiedades mecánicas de la matriz de inmovilización.

C.2.15 Descripción de las propiedades mecánicas de la matriz de tapado.

C.2.16 Peso total del residuo radiactivo, desecho radiactivo o bulto de desecho radiactivo.

C.2.17 Hoja de especificaciones de manufactura del contenedor, incluyendo tipo y modelo.

C.2.18 Clasificación del desecho radiactivo de acuerdo a la NOM-004-NUCL-2013 o la que la sustituya


C.2.19 Materiales o sustancias que pueden generar un riesgo no radiológico.

Material o sustancia


Hidruros.


Compuestos con bajo punto de inflamación.


Materiales que pueden reaccionar con el desecho produciendo calor y gases inflamables.


Materiales combustibles.


Agentes cuyo potencial de oxidación pueda afectar la estabilidad del desecho.


Material de intercambio iónico nitrado.


Materiales pirofóricos.


Materiales explosivos.


Materiales capaces de generar o desprender gases tóxicos, vapores o humos.


Materiales tóxicos.


Otros materiales peligrosos (ej. Asbestos, policlorobifenilos, etc.).


Materiales corrosivos.


Material putrescible.


Agentes complejantes.


Material biológico, patogénico o infeccioso.


Fósforo.


Cualquier otro material o sustancia que pueda constituir un riesgo adicional al radiológico.


Nombre y firma del Representante Legal o del Encargado de Seguridad Radiológica que transfiere el residuo radiactivo, desecho radiactivo o el bulto del desecho radiactivo.

__________________________        ____________________________

       Nombre        Firma

Nombre y firma del Representante Legal o del Encargado de Seguridad Radiológica que recibe el residuo radiactivo, desecho radiactivo o el bulto del desecho radiactivo.

___________________________        ____________________________

       Nombre        Firma

_______________________________________